Product Center.


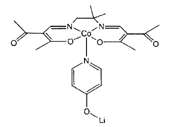
purity:Oxygen loading:≥4.0%
product grade:
CAS No.:344761-80-4
It can be used for on-site preparation of high-purity nitrogen and high-purity oxygen, and also for gas recycling and utilization, as well as for removing oxygen impurities from industrial raw gas.
