Product Center.

产品中心

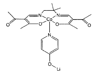
类血红蛋白吸氧材料

CAS号:344761-80-4

英文简称:OI5

纯度:吸氧率≥4.0%


极纯材料科技
0512-82276089
sinfo@ep-materials.com
江苏省常州市新北区港区西路1号滨开区科创港1幢2层
copyright© 极纯材料科技(江苏)有限公司版权所有   苏ICP备2024137258号-1